Dear,
What’s the best approach to check the linearization?
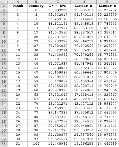
After a linearization with PPE and using the new curve - measuring the L*.
Measurements of the L* to make a linear regression as following:
I’ve found two methods:
→ Linear A (using Excel-equation FORECAST): the calculated values at point 1 and 31 are not the same as the measured L*-values.
→ Linear B (manual); the calculated values at point 1 and 31 are exactly the same as those the measured L*-values.
==> What’s the method to be used for furhter evaluation?
And to evaluate if certain shades are too light or too dark compared to the "ideal’-vaules (linear regresseion). If the measured L*-vaues are above the linear regression, the print is too dark. If below, too light for the concerned shades.
Thanks.
Peter
